不動産鑑定評価基準

総論第7章:鑑定評価の方式

第7章 鑑定評価の方式

不動産の鑑定評価の方式には、原価方式、比較方式及び収益方式の三方式がある。【291】
原価方式は不動産の再調達(建築、造成等による新規の調達をいう。)に要する原価に着目して、比較方式は不動産の取引事例又は賃貸借等の事例に着目して、収益方式は不動産から生み出される収益に着目して、それぞれ不動産の価格又は賃料を求めようとするものである。【292】
不動産の鑑定評価の方式は、価格を求める手法と賃料を求める手法に分類される。それぞれの鑑定評価の手法の適用により求められた価格又は賃料を試算価格又は試算賃料という。【293】
【294】

第1節 価格を求める鑑定評価の手法

不動産の価格を求める鑑定評価の基本的な手法は、原価法、取引事例比較法及び収益還元法に大別され、このほかこれら三手法の考え方を活用した開発法等の手法がある。【295】
Ⅰ 試算価格を求める場合の一般的留意事項【296】
1.一般的要因と鑑定評価の各手法の適用との関連【297】
価格形成要因のうち一般的要因は、不動産の価格形成全般に影響を与えるものであり、鑑定評価手法の適用における各手順において常に考慮されるべきものであり、価格判定の妥当性を検討するために活用しなければならない。【298】
2.事例の収集及び選択【299】
鑑定評価の各手法の適用に当たって必要とされる事例には、原価法の適用に当たって必要な建設事例、取引事例比較法の適用に当たって必要な取引事例及び収益還元法の適用に当たって必要な収益事例(以下「取引事例等」という。)がある。取引事例等は、鑑定評価の各手法に即応し、適切にして合理的な計画に基づき、豊富に秩序正しく収集し、選択すべきであり、投機的取引であると認められる事例等適正さを欠くものであってはならない。【300】
取引事例等は、次の要件の全部を備えるもののうちから選択するものとする。【301】
(1)次の不動産に係るものであること【302】
① 近隣地域又は同一需給圏内の類似地域若しくは必要やむを得ない場合には近隣地域の周辺の地域(以下「同一需給圏内の類似地域等」という。)に存する不動産【303】
② 不動産の最有効使用が標準的使用と異なる場合等において同一需給圏内に存し対象不動産と代替、競争等の関係が成立していると認められる不動産(以下「同一需給圏内の代替競争不動産」という。)。
(2)取引事例等に係る取引等の事情が正常なものと認められるものであること又は正常なものに補正することができるものであること。【304】
(3)時点修正をすることが可能なものであること。【305】
(4)地域要因の比較及び個別的要因の比較が可能なものであること。【306】
3.事情補正【307】
取引事例等に係る取引等が特殊な事情を含み、これが当該取引事例等に係る価格等に影響を及ぼしているときは適切に補正しなければならない。【308】
(1)現実に成立した取引事例等には、不動産市場の特性、取引等における当事者双方の能力の多様性と特別の動機により売り急ぎ、買い進み等の特殊な事情が存在する場合もあるので、取引事例等がどのような条件の下で成立したものであるかを資料の分析に当たり十分に調査しなければならない。【309】
(2)特殊な事情とは、正常価格を求める場合には、正常価格の前提となる現実の社会経済情勢の下で合理的と考えられる諸条件を欠くに至らしめる事情のことである。【310】
4.時点修正【311】
取引事例等に係る取引等の時点が価格時点と異なることにより、その間に価格水準に変動があると認められる場合には、当該取引事例等の価格等を価格時点の価格等に修正しなければならない。【312】
5.地域要因の比較及び個別的要因の比較【313】
取引事例等の価格等は、その不動産の存する用途的地域に係る地域要因及び当該不動産の個別的要因を反映しているものであるから、取引事例等に係る不動産が同一需給圏内の類似地域等に存するもの又は同一需給圏内の代替競争不動産である場合においては、近隣地域と当該事例に係る不動産の存する地域との地域要因の比較及び対象不動産と当該事例に係る不動産との個別的要因の比較を、取引事例等に係る不動産が近隣地域に存するものである場合においては、対象不動産と当該事例に係る不動産の個別的要因の比較をそれぞれ行う必要がある。【314】
Ⅱ 原価法【315】
1.意義【316】
原価法は、価格時点における対象不動産の再調達原価を求め、この再調達原価について減価修正を行って対象不動産の試算価格を求める手法である(この手法による試算価格を積算価格という。)。【317】
原価法は、対象不動産が建物又は建物及びその敷地である場合において、再調達原価の把握及び減価修正を適切に行うことができるときに有効であり、対象不動産が土地のみである場合においても、再調達原価を適切に求めることができるときはこの手法を適用することができる。【318】
2.適用方法【319】
(1)再調達原価の意義【320】
再調達原価とは、対象不動産を価格時点において再調達することを想定した場合において必要とされる適正な原価の総額をいう。【321】
なお、建設資材、工法等の変遷により、対象不動産の再調達原価を求めることが困難な場合には、対象不動産と同等の有用性を持つものに置き換えて求めた原価(置換原価)を再調達原価とみなすものとする。【322】
(2)再調達原価を求める方法【323】
再調達原価は、建設請負により、請負者が発注者に対して直ちに使用可能な状態で引き渡す通常の場合を想定し、発注者が請負者に対して支払う標準的な建設費に発注者が直接負担すべき通常の付帯費用を加算して求めるものとする。【324】
なお、置換原価は、対象不動産と同等の有用性を持つ不動産を新たに調達することを想定した場合に必要とされる原価の総額であり、発注者が請負者に対して支払う標準的な建設費に発注者が直接負担すべき通常の付帯費用を加算して求める。【325】
これらの場合における通常の付帯費用には、建物引渡しまでに発注者が負担する通常の資金調達費用や標準的な開発リスク相当額等が含まれる場合があることに留意する必要がある。【326】
① 土地の再調達原価は、その素材となる土地の標準的な取得原価に当該土地の標準的な造成費と発注者が直接負担すべき通常の付帯費用とを加算して求めるものとする。【327】
なお、土地についての原価法の適用において、宅地造成直後の対象地の地域要因と価格時点における対象地の地域要因とを比較し、公共施設、利便施設等の整備及び住宅等の建設等により、社会的、経済的環境の変化が価格水準に影響を与えていると客観的に認められる場合には、地域要因の変化の程度に応じた増加額を熟成度として加算することができる。【328】
② 建物及びその敷地の再調達原価は、まず、土地の再調達原価(再調達原価が把握できない既成市街地における土地にあっては取引事例比較法及び収益還元法によって求めた更地の価格に発注者が直接負担すべき通常の付帯費用を加算した額)又は借地権の価格に発注者が直接負担すべき通常の付帯費用を加算した額を求め、この価格に建物の再調達原価を加算して求めるものとする。【329】
③ 再調達原価を求める方法には、直接法及び間接法があるが、収集した建設事例等の資料としての信頼度に応じていずれかを適用するものとし、また、必要に応じて併用するものとする。【330】
ア 直接法は、対象不動産について直接的に再調達原価を求める方法である。【331】
直接法は、対象不動産について、使用資材の種別、品等及び数量並びに所要労働の種別、時間等を調査し、対象不動産の存する地域の価格時点における単価を基礎とした直接工事費を積算し、これに間接工事費及び請負者の適正な利益を含む一般管理費等を加えて標準的な建設費を求め、さらに発注者が直接負担すべき通常の付帯費用を加算して再調達原価を求めるものとする。【332】
また、対象不動産の素材となった土地(素地)の価格並びに実際の造成又は建設に要する直接工事費、間接工事費、請負者の適正な利益を含む一般管理費等及び発注者が直接負担した付帯費用の額並びにこれらの明細(種別、品等、数量、時間、単価等)が判明している場合には、これらの明細を分析して適切に補正し、かつ、必要に応じて時点修正を行って再調達原価を求めることができる。【333】
イ 間接法は、近隣地域若しくは同一需給圏内の類似地域等に存する対象不動産と類似の不動産又は同一需給圏内の代替競争不動産から間接的に対象不動産の再調達原価を求める方法である。【334】
間接法は、当該類似の不動産等について、素地の価格やその実際の造成又は建設に要した直接工事費、間接工事費、請負者の適正な利益を含む一般管理費等及び発注者が直接負担した付帯費用の額並びにこれらの明細(種別、品等、数量、時間、単価等)を明確に把握できる場合に、これらの明細を分析して適切に補正し、必要に応じて時点修正を行い、かつ、地域要因の比較及び個別的要因の比較を行って、対象不動産の再調達原価を求めるものとする。【335】
3.減価修正【336】
減価修正の目的は、減価の要因に基づき発生した減価額を対象不動産の再調達原価から控除して価格時点における対象不動産の適正な積算価格を求めることである。【337】
減価修正を行うに当たっては、減価の要因に着目して対象不動産を部分的かつ総合的に分析検討し、減価額を求めなければならない。【338】
(1)減価の要因【339】
減価の要因は、物理的要因、機能的要因及び経済的要因に分けられる。【340】
これらの要因は、それぞれ独立しているものではなく、相互に関連し、影響を与え合いながら作用していることに留意しなければならない。【341】
① 物理的要因【342】
物理的要因としては、不動産を使用することによって生ずる摩滅及び破損、時の経過又は自然的作用によって生ずる老朽化並びに偶発的な損傷があげられる。【343】
② 機能的要因【344】
機能的要因としては、不動産の機能的陳腐化、すなわち、建物と敷地との不適応、設計の不良、型式の旧式化、設備の不足及びその能率の低下等があげられる。【345】
③ 経済的要因【346】
経済的要因としては、不動産の経済的不適応、すなわち、近隣地域の衰退、不動産とその付近の環境との不適合、不動産と代替、競争等の関係にある不動産又は付近の不動産との比較における市場性の減退等があげられる。【347】
(2)減価修正の方法【348】
減価額を求めるには、次の二つの方法があり、これらを併用するものとする。【349】
① 耐用年数に基づく方法【350】
耐用年数に基づく方法は、対象不動産の価格時点における経過年数及び経済的残存耐用年数の和として把握される耐用年数を基礎として減価額を把握する方法である。【351】
経済的残存耐用年数とは、価格時点において、対象不動産の用途や利用状況に即し、物理的要因及び機能的要因に照らした劣化の程度並びに経済的要因に照らした市場競争力の程度に応じてその効用が十分に持続すると考えられる期間をいい、この方法の適用に当たり特に重視されるべきものである。【352】
耐用年数に基づく方法には、定額法、定率法等があるが、これらのうちいずれの方法を用いるかは、対象不動産の用途や利用状況に即して決定すべきである。【353】
なお、対象不動産が二以上の分別可能な組成部分により構成されていて、それぞれの経過年数又は経済的残存耐用年数が異なる場合に、これらをいかに判断して用いるか、また、耐用年数満了時における残材価額をいかにみるかについても、対象不動産の用途や利用状況に即して決定すべきである。【354】
② 観察減価法【355】
観察減価法は、対象不動産について、設計、設備等の機能性、維持管理の状態、補修の状況、付近の環境との適合の状態等各減価の要因の実態を調査することにより、減価額を直接求める方法である。【356】
観察減価法の適用においては、対象不動産に係る個別分析の結果を踏まえた代替、競争等の関係にある不動産と比べた優劣及び競争力の程度等を適切に反映すべきである。【357】
Ⅲ 取引事例比較法【358】
1.意義【359】
取引事例比較法は、まず多数の取引事例を収集して適切な事例の選択を行い、これらに係る取引価格に必要に応じて事情補正及び時点修正を行い、かつ、地域要因の比較及び個別的要因の比較を行って求められた価格を比較考量し、これによって対象不動産の試算価格を求める手法である(この手法による試算価格を比準価格という。)。【360】
取引事例比較法は、近隣地域若しくは同一需給圏内の類似地域等において対象不動産と類似の不動産の取引が行われている場合又は同一需給圏内の代替競争不動産の取引が行われている場合に有効である。【361】
2.適用方法【362】
(1)事例の収集及び選択【363】
取引事例比較法は、市場において発生した取引事例を価格判定の基礎とするものであるので、多数の取引事例を収集することが必要である。【364】
取引事例は、原則として近隣地域又は同一需給圏内の類似地域に存する不動産に係るもののうちから選択するものとし、必要やむを得ない場合には近隣地域の周辺の地域に存する不動産に係るもののうちから、対象不動産の最有効使用が標準的使用と異なる場合等には、同一需給圏内の代替競争不動産に係るもののうちから選択するものとするほか、次の要件の全部を備えなければならない。【365】
① 取引事情が正常なものと認められるものであること又は正常なものに補正することができるものであること。【366】
② 時点修正をすることが可能なものであること。
③ 地域要因の比較及び個別的要因の比較が可能なものであること。
(2)事情補正及び時点修正【367】
取引事例が特殊な事情を含み、これが当該事例に係る取引価格に影響していると認められるときは、適切な補正を行い、取引事例に係る取引の時点が価格時点と異なることにより、その間に価格水準の変動があると認められるときは、当該事例の価格を価格時点の価格に修正しなければならない。【368】
時点修正に当たっては、事例に係る不動産の存する用途的地域又は当該地域と相似の価格変動過程を経たと認められる類似の地域における土地又は建物の価格の変動率を求め、これにより取引価格を修正すべきである。【369】
(3)地域要因の比較及び個別的要因の比較【370】
取引価格は、取引事例に係る不動産の存する用途的地域の地域要因及び当該不動産の個別的要因を反映しているものであるから、取引事例に係る不動産が同一需給圏内の類似地域等に存するもの又は同一需給圏内の代替競争不動産である場合においては、近隣地域と当該事例に係る不動産の存する地域との地域要因の比較及び対象不動産と当該事例に係る不動産との個別的要因の比較を、取引事例に係る不動産が近隣地域に存するものである場合においては、対象不動産と当該事例に係る不動産との個別的要因の比較をそれぞれ行うものとする。【371】
また、このほか地域要因及び個別的要因の比較については、それぞれの地域における個別的要因が標準的な土地を設定して行う方法がある。【372】
(4)配分法【373】
取引事例が対象不動産と同類型の不動産の部分を内包して複合的に構成されている異類型の不動産に係る場合においては、当該取引事例の取引価格から対象不動産と同類型の不動産以外の部分の価格が取引価格等により判明しているときは、その価格を控除し、又は当該取引事例について各構成部分の価格の割合が取引価格、新規投資等により判明しているときは、当該事例の取引価格に対象不動産と同類型の不動産の部分に係る構成割合を乗じて、対象不動産の類型に係る事例資料を求めるものとする(この方法を配分法という。)。【374】
Ⅳ 収益還元法【375】
1.意義【376】
収益還元法は、対象不動産が将来生み出すであろうと期待される純収益の現在価値の総和を求めることにより対象不動産の試算価格を求める手法である(この手法による試算価格を収益価格という。)。【377】
収益還元法は、賃貸用不動産又は賃貸以外の事業の用に供する不動産の価格を求める場合に特に有効である。【378】
また、不動産の価格は、一般に当該不動産の収益性を反映して形成されるものであり、収益は、不動産の経済価値の本質を形成するものである。したがって、この手法は、文化財の指定を受けた建造物等の一般的に市場性を有しない不動産以外のものには基本的にすべて適用すべきものであり、自用の不動産といえども賃貸を想定することにより適用されるものである。【379】
なお、市場における不動産の取引価格の上昇が著しいときは、取引価格と収益価格との乖離が増大するものであるので、先走りがちな取引価格に対する有力な験証手段として、この手法が活用されるべきである。【380】
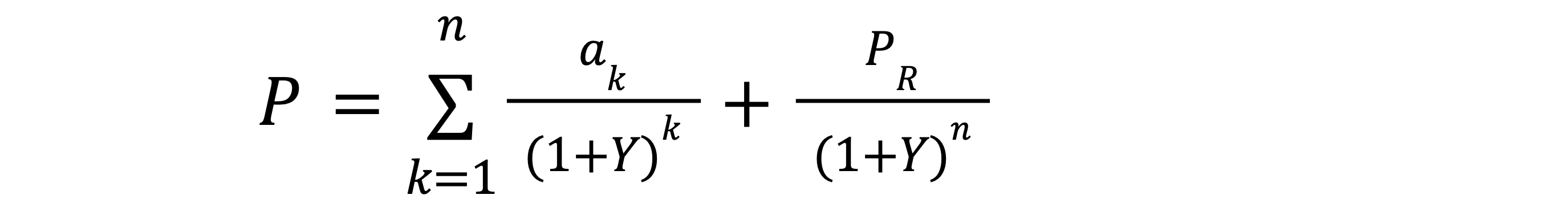
2.収益価格を求める方法【381】
収益価格を求める方法には、一期間の純収益を還元利回りによって還元する方法(以下「直接還元法」という。)と、連続する複数の期間に発生する純収益及び復帰価格を、その発生時期に応じて現在価値に割り引き、それぞれを合計する方法(Discounted Cash Flow法(以下「DCF法」という。))がある。【382】
これらの方法は、基本的には次の式により表される。【383】
(1)直接還元法【384】
【385】
P:求める不動産の収益価格【386】
a:一期間の純収益【387】
R:還元利回り【388】
(2)DCF法【389】
【390】
P:求める不動産の収益価格【391】
ak:毎期の純収益【392】
Y:割引率【393】
n:保有期間(売却を想定しない場合には分析期間。以下同じ。)【394】
PR:復帰価格【395】
復帰価格とは、保有期間の満了時点における対象不動産の価格をいい、基本的には次の式により表される。【396】
【397】
an+1n+1期の純収益【398】
Rn:保有期間の満了時点における還元利回り(最終還元利回り)【399】
3.適用方法【400】
(1)純収益【401】
① 純収益の意義【402】
純収益とは、不動産に帰属する適正な収益をいい、収益目的のために用いられている不動産とこれに関与する資本(不動産に化体されているものを除く。)、労働及び経営(組織)の諸要素の結合によって生ずる総収益から、資本(不動産に化体されているものを除く。)、労働及び経営(組織)の総収益に対する貢献度に応じた分配分を控除した残余の部分をいう。【403】
② 純収益の算定【404】
対象不動産の純収益は、一般に1年を単位として総収益から総費用を控除して求めるものとする。また、純収益は、永続的なものと非永続的なもの、償却前のものと償却後のもの等、総収益及び総費用の把握の仕方により異なるものであり、それぞれ収益価格を求める方法及び還元利回り又は割引率を求める方法とも密接な関連があることに留意する必要がある。【405】
なお、直接還元法における純収益は、対象不動産の初年度の純収益を採用する場合と標準化された純収益を採用する場合があることに留意しなければならない。【406】
純収益の算定に当たっては、対象不動産からの総収益及びこれに係る総費用を直接的に把握し、それぞれの項目の細部について過去の推移及び将来の動向を慎重に分析して、対象不動産の純収益を適切に求めるべきである。この場合において収益増加の見通しについては、特に予測の限界を見極めなければならない。【407】
特にDCF法の適用に当たっては、毎期の純収益及び復帰価格並びにその発生時期が明示されることから、純収益の見通しについて十分な調査を行うことが必要である。【408】
なお、直接還元法の適用に当たって、対象不動産の純収益を近隣地域若しくは同一需給圏内の類似地域等に存する対象不動産と類似の不動産又は同一需給圏内の代替競争不動産の純収益によって間接的に求める場合には、それぞれの地域要因の比較及び個別的要因の比較を行い、当該純収益について適切に補正することが必要である。【409】
ア 総収益の算定及び留意点【410】
(ア)対象不動産が賃貸用不動産又は賃貸以外の事業の用に供する不動産である場合【411】
賃貸用不動産の総収益は、一般に、支払賃料に預り金的性格を有する保証金等の運用益、賃料の前払的性格を有する権利金等の運用益及び償却額並びに駐車場使用料等のその他収入を加えた額(以下「支払賃料等」という。)とする。賃貸用不動産についてのDCF法の適用に当たっては、特に賃貸借契約の内容並びに賃料及び貸室の稼動率の毎期の変動に留意しなければならない。【412】
賃貸以外の事業の用に供する不動産の総収益は、一般に、売上高とする。ただし、賃貸以外の事業の用に供する不動産であっても、売上高のうち不動産に帰属する部分をもとに求めた支払賃料等相当額、又は、賃貸に供することを想定することができる場合における支払賃料等をもって総収益とすることができる。【413】
なお、賃貸用不動産のうち賃借人により賃貸以外の事業に供されている不動産の総収益の算定及び賃貸以外の事業の用に供する不動産の総収益の算定に当たっては、当該不動産が供されている事業について、その現状と動向に十分留意しなければならない。【414】
(イ)対象不動産が更地である場合において、当該土地に最有効使用の賃貸用建物等の建築を想定する場合【415】
対象不動産に最有効使用の賃貸用建物等の建設を想定し、当該複合不動産が生み出すであろう総収益を適切に求めるものとする。【416】
イ 総費用の算定及び留意点【417】
賃貸用不動産(ア(イ)の複合不動産を想定する場合を含む。)の総費用は、減価償却費(償却前の純収益を求める場合には、計上しない。)、維持管理費(維持費、管理費、修繕費等)、公租公課(固定資産税、都市計画税等)、損害保険料等の諸経費等を加算して求めるものとする。【418】
賃貸以外の事業の用に供する不動産の総費用は、売上原価、販売費及び一般管理費等を加算して求めるものとする。ただし、賃貸以外の事業の用に供する不動産であっても、売上高のうち不動産に帰属する部分をもとに求めた支払賃料等相当額、又は、賃貸に供することを想定することができる場合における支払賃料等をもって総収益とした場合、総費用は上記賃貸用不動産の算定の例によるものとする。【419】
なお、DCF法の適用に当たっては、特に保有期間中における大規模修繕費等の費用の発生時期に留意しなければならない。【420】
(2)還元利回り及び割引率【421】
① 還元利回り及び割引率の意義【422】
還元利回り及び割引率は、共に不動産の収益性を表し、収益価格を求めるために用いるものであるが、基本的には次のような違いがある。【423】
還元利回りは、直接還元法の収益価格及びDCF法の復帰価格の算定において、一期間の純収益から対象不動産の価格を直接求める際に使用される率であり、将来の収益に影響を与える要因の変動予測と予測に伴う不確実性を含むものである。【424】
割引率は、DCF法において、ある将来時点の収益を現在時点の価値に割り戻す際に使用される率であり、還元利回りに含まれる変動予測と予測に伴う不確実性のうち、収益見通しにおいて考慮された連続する複数の期間に発生する純収益や復帰価格の変動予測に係るものを除くものである。【425】
② 還元利回り及び割引率の算定【426】
ア 還元利回り及び割引率を求める際の留意点【427】
還元利回り及び割引率は、共に比較可能な他の資産の収益性や金融市場における運用利回りと密接な関連があるので、その動向に留意しなければならない。【428】
さらに、還元利回り及び割引率は、地方別、用途的地域別、品等別等によって異なる傾向を持つため、対象不動産に係る地域要因及び個別的要因の分析を踏まえつつ適切に求めることが必要である。【429】
イ 還元利回りを求める方法【430】
還元利回りを求める方法を例示すると次のとおりである。【431】
(ア)類似の不動産の取引事例との比較から求める方法【432】
この方法は、対象不動産と類似の不動産の取引事例から求められる利回りをもとに、取引時点及び取引事情並びに地域要因及び個別的要因の違いに応じた補正を行うことにより求めるものである。【433】
(イ)借入金と自己資金に係る還元利回りから求める方法【434】
この方法は、対象不動産の取得の際の資金調達上の構成要素(借入金及び自己資金)に係る各還元利回りを各々の構成割合により加重平均して求めるものである。【435】
(ウ)土地と建物に係る還元利回りから求める方法【436】
この方法は、対象不動産が建物及びその敷地である場合に、その物理的な構成要素(土地及び建物)に係る各還元利回りを各々の価格の構成割合により加重平均して求めるものである。【437】
(エ)割引率との関係から求める方法【438】
この方法は、割引率をもとに対象不動産の純収益の変動率を考慮して求めるものである。【439】
ウ 割引率を求める方法【440】
割引率を求める方法を例示すると次のとおりである。【441】
(ア)類似の不動産の取引事例との比較から求める方法【442】
この方法は、対象不動産と類似の不動産の取引事例から求められる割引率をもとに、取引時点及び取引事情並びに地域要因及び個別的要因の違いに応じた補正を行うことにより求めるものである。【443】
(イ)借入金と自己資金に係る割引率から求める方法【444】
この方法は、対象不動産の取得の際の資金調達上の構成要素(借入金及び自己資金)に係る各割引率を各々の構成割合により加重平均して求めるものである。【445】
(ウ)金融資産の利回りに不動産の個別性を加味して求める方法【446】
この方法は、債券等の金融資産の利回りをもとに、対象不動産の投資対象としての危険性、非流動性、管理の困難性、資産としての安全性等の個別性を加味することにより求めるものである。【447】
(3)直接還元法及びDCF法の適用のあり方【448】
直接還元法又はDCF法のいずれの方法を適用するかについては、収集可能な資料の範囲、対象不動産の類型及び依頼目的に即して適切に選択することが必要である。【449】
【450】

第2節 賃料を求める鑑定評価の手法

不動産の賃料を求める鑑定評価の手法は、新規賃料にあっては積算法、賃貸事例比較法、収益分析法等があり、継続賃料にあっては差額配分法、利回り法、スライド法、賃貸事例比較法等がある。【451】
Ⅰ 賃料を求める場合の一般的留意事項【452】
賃料の鑑定評価は、対象不動産について、賃料の算定の期間に対応して、実質賃料を求めることを原則とし、賃料の算定の期間及び支払いの時期に係る条件並びに権利金、敷金、保証金等の一時金の授受に関する条件が付されて支払賃料を求めることを依頼された場合には、実質賃料とともに、その一部である支払賃料を求めることができるものとする。【453】
1.実質賃料と支払賃料【454】
実質賃料とは、賃料の種類の如何を問わず賃貸人等に支払われる賃料の算定の期間に対応する適正なすべての経済的対価をいい、純賃料及び不動産の賃貸借等を継続するために通常必要とされる諸経費等(以下「必要諸経費等」という。)から成り立つものである。【455】
支払賃料とは、各支払時期に支払われる賃料をいい、契約に当たって、権利金、敷金、保証金等の一時金が授受される場合においては、当該一時金の運用益及び償却額と併せて実質賃料を構成するものである。【456】
なお、慣行上、建物及びその敷地の一部の賃貸借に当たって、水道光熱費、清掃・衛生費、冷暖房費等がいわゆる付加使用料、共益費等の名目で支払われる場合もあるが、これらのうちには実質的に賃料に相当する部分が含まれている場合があることに留意する必要がある。【457】
2.支払賃料の求め方【458】
契約に当たって一時金が授受される場合における支払賃料は、実質賃料から、当該一時金について賃料の前払的性格を有する一時金の運用益及び償却額並びに預り金的性格を有する一時金の運用益を控除して求めるものとする。【459】
なお、賃料の前払的性格を有する一時金の運用益及び償却額については、対象不動産の賃貸借等の持続する期間の効用の変化等に着目し、実態に応じて適切に求めるものとする。【460】
運用利回りは、賃貸借等の契約に当たって授受される一時金の性格、賃貸借等の契約内容並びに対象不動産の種類及び性格等の相違に応じて、当該不動産の期待利回り、不動産の取引利回り、長期預金の金利、国債及び公社債利回り、金融機関の貸出金利等を比較考量して決定するものとする。【461】
3.賃料の算定の期間【462】
鑑定評価によって求める賃料の算定の期間は、原則として、宅地並びに建物及びその敷地の賃料にあっては1月を単位とし、その他の土地にあっては1年を単位とするものとする。【463】
4.継続賃料を求める場合【464】
継続賃料の鑑定評価額は、現行賃料を前提として、契約当事者間で現行賃料を合意しそれを適用した時点(以下「直近合意時点」という。)以降において、公租公課、土地及び建物価格、近隣地域若しくは同一需給圏内の類似地域等における賃料又は同一需給圏内の代替競争不動産の賃料の変動等のほか、賃貸借等の契約の経緯、賃料改定の経緯及び契約内容を総合的に勘案し、契約当事者間の公平に留意の上決定するものである。【465】
Ⅱ 新規賃料を求める鑑定評価の手法【466】
1.積算法【467】
(1)意義【468】
積算法は、対象不動産について、価格時点における基礎価格を求め、これに期待利回りを乗じて得た額に必要諸経費等を加算して対象不動産の試算賃料を求める手法である(この手法による試算賃料を積算賃料という。)。【469】
積算法は、対象不動産の基礎価格、期待利回り及び必要諸経費等の把握を的確に行い得る場合に有効である。【470】
(2)適用方法【471】
① 基礎価格【472】
基礎価格とは、積算賃料を求めるための基礎となる価格をいい、原価法及び取引事例比較法により求めるものとする。【473】
② 期待利回り【474】
期待利回りとは、賃貸借等に供する不動産を取得するために要した資本に相当する額に対して期待される純収益のその資本相当額に対する割合をいう。【475】
期待利回りを求める方法については、収益還元法における還元利回りを求める方法に準ずるものとする。この場合において、賃料の有する特性に留意すべきである。【476】
③ 必要諸経費等【477】
不動産の賃貸借等に当たってその賃料に含まれる必要諸経費等としては、次のものがあげられる。【478】
ア 減価償却費(償却前の純収益に対応する期待利回りを用いる場合には、計上しない。)【479】
イ 維持管理費(維持費、管理費、修繕費等)
ウ 公租公課(固定資産税、都市計画税等)
エ 損害保険料(火災、機械、ボイラー等の各種保険)
オ 貸倒れ準備費
カ 空室等による損失相当額
2.賃貸事例比較法【480】
(1)意義【481】
賃貸事例比較法は、まず多数の新規の賃貸借等の事例を収集して適切な事例の選択を行い、これらに係る実際実質賃料(実際に支払われている不動産に係るすべての経済的対価をいう。)に必要に応じて事情補正及び時点修正を行い、かつ、地域要因の比較及び個別的要因の比較を行って求められた賃料を比較考量し、これによって対象不動産の試算賃料を求める手法である(この手法による試算賃料を比準賃料という。)。【482】
賃貸事例比較法は、近隣地域又は同一需給圏内の類似地域等において対象不動産と類似の不動産の賃貸借等が行われている場合又は同一需給圏内の代替競争不動産の賃貸借等が行われている場合に有効である。【483】
(2)適用方法【484】
① 事例の収集及び選択【485】
賃貸借等の事例の収集及び選択については、取引事例比較法における事例の収集及び選択に準ずるものとする。この場合において、賃貸借等の契約の内容について類似性を有するものを選択すべきことに留意しなければならない。【486】
② 事情補正及び時点修正並びに地域要因の比較及び個別的要因の比較【487】
事情補正及び時点修正並びに地域要因の比較及び個別的要因の比較については、取引事例比較法の場合に準ずるものとする。【488】
3.収益分析法【489】
(1)意義【490】
収益分析法は、一般の企業経営に基づく総収益を分析して対象不動産が一定期間に生み出すであろうと期待される純収益(減価償却後のものとし、これを収益純賃料という。)を求め、これに必要諸経費等を加算して対象不動産の試算賃料を求める手法である(この手法による試算賃料を収益賃料という。)。【491】
収益分析法は、企業の用に供されている不動産に帰属する純収益を適切に求め得る場合に有効である。【492】
(2)適用方法【493】
① 収益純賃料の算定【494】
収益純賃料の算定については、収益還元法における純収益の算定に準ずるものとする。この場合において、賃料の有する特性に留意しなければならない。【495】
② 収益賃料を求める手法【496】
収益賃料は、収益純賃料の額に賃貸借等に当たって賃料に含まれる必要諸経費等を加算することによって求めるものとする。【497】
なお、一般企業経営に基づく総収益を分析して収益純賃料及び必要諸経費等を含む賃料相当額を収益賃料として直接求めることができる場合もある。【498】
Ⅲ 継続賃料を求める鑑定評価の手法【499】
1.差額配分法【500】
(1)意義【501】
差額配分法は、対象不動産の経済価値に即応した適正な実質賃料又は支払賃料と実際実質賃料又は実際支払賃料との間に発生している差額について、契約の内容、契約締結の経緯等を総合的に勘案して、当該差額のうち賃貸人等に帰属する部分を適切に判定して得た額を実際実質賃料又は実際支払賃料に加減して試算賃料を求める手法である。【502】
(2)適用方法【503】
① 対象不動産の経済価値に即応した適正な実質賃料は、価格時点において想定される新規賃料であり、積算法、賃貸事例比較法等により求めるものとする。【504】
対象不動産の経済価値に即応した適正な支払賃料は、契約に当たって一時金が授受されている場合については、実質賃料から権利金、敷金、保証金等の一時金の運用益及び償却額を控除することにより求めるものとする。【505】
② 賃貸人等に帰属する部分については、継続賃料固有の価格形成要因に留意しつつ、一般的要因の分析及び地域要因の分析により差額発生の要因を広域的に分析し、さらに対象不動産について契約内容及び契約締結の経緯等に関する分析を行うことにより適切に判断するものとする。【506】
2.利回り法【507】
(1)意義【508】
利回り法は、基礎価格に継続賃料利回りを乗じて得た額に必要諸経費等を加算して試算賃料を求める手法である。【509】
(2)適用方法【510】
① 基礎価格及び必要諸経費等の求め方については、積算法に準ずるものとする。【511】
② 継続賃料利回りは、直近合意時点における基礎価格に対する純賃料の割合を踏まえ、継続賃料固有の価格形成要因に留意しつつ、期待利回り、契約締結時及びその後の各賃料改定時の利回り、基礎価格の変動の程度、近隣地域若しくは同一需給圏内の類似地域等における対象不動産と類似の不動産の賃貸借等の事例又は同一需給圏内の代替競争不動産の賃貸借等の事例における利回りを総合的に比較考量して求めるものとする。【512】
3.スライド法【513】
(1)意義【514】
スライド法は、直近合意時点における純賃料に変動率を乗じて得た額に価格時点における必要諸経費等を加算して試算賃料を求める手法である。【515】
なお、直近合意時点における実際実質賃料又は実際支払賃料に即応する適切な変動率が求められる場合には、当該変動率を乗じて得た額を試算賃料として直接求めることができるものとする。【516】
(2)適用方法【517】
① 変動率は、直近合意時点から価格時点までの間における経済情勢等の変化に即応する変動分を表すものであり、継続賃料固有の価格形成要因に留意しつつ、土地及び建物価格の変動、物価変動、所得水準の変動等を示す各種指数や整備された不動産インデックス等を総合的に勘案して求めるものとする。【518】
② 必要諸経費等の求め方は、積算法に準ずるものとする。【519】
4.賃貸事例比較法【520】
賃貸事例比較法は、新規賃料に係る賃貸事例比較法に準じて試算賃料を求める手法である。試算賃料を求めるに当たっては、継続賃料固有の価格形成要因の比較を適切に行うことに留意しなければならない。【521】

Ⅴ 「総論第7章鑑定評価の方式」について

1.価格を求める鑑定評価の手法について【2164】
(1)試算価格を求める場合の一般的留意事項について【2165】
① 取引事例等の選択について【2166】
ア 必要やむを得ない場合に近隣地域の周辺地域に存する不動産に係るものを選択する場合について【2167】
この場合における必要やむを得ない場合とは、近隣地域又は同一需給圏内の類似地域に存する不動産について収集した取引事例等の大部分が特殊な事情による影響を著しく受けていることその他の特別な事情により当該取引事例等のみによっては鑑定評価を適切に行うことができないと認められる場合をいう。【2168】
イ 対象不動産の最有効使用が標準的使用と異なる場合等において同一需給圏内の代替競争不動産に係るものを選択する場合について【2169】
この場合における対象不動産の最有効使用が標準的使用と異なる場合等とは、次のような場合として例示される対象不動産の個別性のために近隣地域の制約の程度が著しく小さいと認められるものをいう。【2170】
(ア)戸建住宅地域において、近辺で大規模なマンションの開発がみられるとともに、立地に優れ高度利用が可能なことから、マンション適地と認められる大規模な画地が存する場合【2171】
(イ)中高層事務所として用途が純化された地域において、交通利便性に優れ広域的な集客力を有するホテルが存する場合
(ウ)住宅地域において、幹線道路に近接して、広域的な商圏を持つ郊外型の大規模小売店舗が存する場合
(エ)中小規模の事務所ビルが集積する地域において、敷地の集約化により完成した卓越した競争力を有する大規模事務所ビルが存する場合
ウ 代替、競争等の関係を判定する際の留意点について【2172】
イの場合において選択する同一需給圏内の代替競争不動産に係る取引事例等は、次に掲げる要件に該当するものでなければならない。【2173】
(ア)対象不動産との間に用途、規模、品等等からみた類似性が明確に認められること。【2174】
(イ)対象不動産の価格形成に関して直接に影響を与えていることが明確に認められること。
② 地域要因の比較及び個別的要因の比較について【2175】
取引事例等として同一需給圏内の代替競争不動産に係るものを選択する場合において、価格形成要因に係る対象不動産との比較を行う際には、個別的要因の比較だけでなく市場の特性に影響を与えている地域要因の比較もあわせて行うべきことに留意すべきである。【2176】
(2)原価法について【2177】
① 再調達原価を求める方法について【2178】
ア 建物の増改築・修繕・模様替等は、その内容を踏まえ、再調達原価の査定に適切に反映させなければならない。【2179】
イ 資金調達費用とは、建築費及び発注者が負担すべき費用に相当する資金について、建物引渡しまでの期間に対応する調達費用をいう。【2180】
ウ 開発リスク相当額とは、開発を伴う不動産について、当該開発に係る工事が終了し、不動産の効用が十分に発揮されるに至るまでの不確実性に関し、事業者(発注者)が通常負担する危険負担率を金額で表示したものである。【2181】
② 減価修正の方法について【2182】
ア 対象不動産が建物及びその敷地である場合において、土地及び建物の再調達原価についてそれぞれ減価修正を行った上で、さらにそれらを加算した額について減価修正を行う場合があるが、それらの減価修正の過程を通じて同一の減価の要因について重複して考慮することのないよう留意するべきである。【2183】
イ 耐用年数に基づく方法及び観察減価法を適用する場合においては、対象不動産が有する市場性を踏まえ、特に、建物の増改築・修繕・模様替等の実施が耐用年数及び減価の要因に与える影響の程度について留意しなければならない。【2184】
(3)取引事例比較法について【2185】
この手法の適用に当たっては、多数の取引事例を収集し、価格の指標となり得る事例の選択を行わなければならないが、その有効性を高めるため、取引事例はもとより、売り希望価格、買い希望価格、精通者意見等の資料を幅広く収集するよう努めるものとする。【2186】
なお、これらの資料は、近隣地域等の価格水準及び地価の動向を知る上で十分活用し得るものである。【2187】
① 事例の収集について【2188】
豊富に収集された取引事例の分析検討は、個別の取引に内在する特殊な事情を排除し、時点修正率を把握し、及び価格形成要因の対象不動産の価格への影響の程度を知る上で欠くことのできないものである。特に、選択された取引事例は、取引事例比較法を適用して比準価格を求める場合の基礎資料となるものであり、収集された取引事例の信頼度は比準価格の精度を左右するものである。【2189】
取引事例は、不動産の利用目的、不動産に関する価値観の多様性、取引の動機による売主及び買主の取引事情等により各々の取引について考慮されるべき視点が異なってくる。したがって、取引事例に係る取引事情を始め取引当事者の属性(本留意事項の「Ⅳ「総論第6章地域分析及び個別分析」について」に掲げる市場参加者の属性に同じ。)及び取引価格の水準の変動の推移を慎重に分析しなければならない。【2190】【2191】
② 事情補正について【2192】
事情補正の必要性の有無及び程度の判定に当たっては、多数の取引事例等を総合的に比較対照の上、検討されるべきものであり、事情補正を要すると判定したときは、取引が行われた市場における客観的な価格水準等を考慮して適切に補正を行わなければならない。【2193】
事情補正を要する特殊な事情を例示すれば、次のとおりである。【2194】
ア 補正に当たり減額すべき特殊な事情【2195】
(ア)営業上の場所的限定等特殊な使用方法を前提として取引が行われたとき。【2196】
(イ)極端な供給不足、先行きに対する過度に楽観的な見通し等特異な市場条件の下に取引が行われたとき。
(ウ)業者又は系列会社間における中間利益の取得を目的として取引が行われたとき。
(エ)買手が不動産に関し明らかに知識や情報が不足している状態において過大な額で取引が行われたとき。
(オ)取引価格に売買代金の割賦払いによる金利相当額、立退料、離作料等の土地の対価以外のものが含まれて取引が行われたとき。
イ 補正に当たり増額すべき特殊な事情【2197】
(ア)売主が不動産に関し明らかに知識や情報が不足している状態において、過少な額で取引が行われたとき。【2198】
(イ)相続、転勤等により売り急いで取引が行われたとき。
ウ 補正に当たり減額又は増額すべき特殊な事情【2199】
(ア)金融逼迫、倒産時における法人間の恩恵的な取引又は知人、親族間等人間関係による恩恵的な取引が行われたとき。【2200】
(イ)不相応な造成費、修繕費等を考慮して取引が行われたとき。
(ウ)調停、清算、競売、公売等において価格が成立したとき。
③ 時点修正について【2201】
ア 時点修正率は、価格時点以前に発生した多数の取引事例について時系列的な分析を行い、さらに国民所得の動向、財政事情及び金融情勢、公共投資の動向、建築着工の動向、不動産取引の推移等の社会的及び経済的要因の変化、土地利用の規制、税制等の行政的要因の変化等の一般的要因の動向を総合的に勘案して求めるべきである。【2202】
イ 時点修正率は原則として前記アにより求めるが、地価公示、都道府県地価調査等の資料を活用するとともに、適切な取引事例が乏しい場合には、売り希望価格、買い希望価格等の動向及び市場の需給の動向等に関する諸資料を参考として用いることができるものとする。【2203】
(4)収益還元法について【2204】
① 直接還元法の適用について【2205】
ア 一期間の純収益の算定について【2206】
直接還元法の適用において還元対象となる一期間の純収益と、それに対応して採用される還元利回りは、その把握の仕方において整合がとれたものでなければならない。【2207】
すなわち、還元対象となる一期間の純収益として、ある一定期間の標準化されたものを採用する場合には、還元利回りもそれに対応したものを採用することが必要である。また、建物その他の償却資産(以下「建物等」という。)を含む不動産の純収益の算定においては、基本的に減価償却費を控除しない償却前の純収益を用いるべきであり、それに対応した還元利回りで還元する必要がある。【2208】
【2209】
P:建物等の収益価格【2210】
a:建物等の償却前の純収益【2211】
R:償却前の純収益に対応する還元利回り【2212】
一方、減価償却費を控除した償却後の純収益を用いる場合には、還元利回りも償却後の純収益に対応するものを用いなければならない。【2213】
減価償却費の算定方法には定額法、償還基金率を用いる方法等があり、適切に用いることが必要である。【2214】
【2215】
P:建物等の収益価格【2216】
a’:建物等の償却後の純収益【2217】
R’:償却後の純収益に対応する還元利回り【2218】
なお、減価償却費と償却前の純収益に対応する還元利回りを用いて償却後の純収益に対応する還元利回りを求める式は以下のとおりである。【2219】
【2220】
R’:償却後の純収益に対応する還元利回り【2221】
R:償却前の純収益に対応する還元利回り【2222】
a’:償却後の純収益【2223】
d:減価償却費【2224】
イ 土地残余法【2225】
対象不動産が更地である場合において、当該土地に最有効使用の賃貸用建物等の建築を想定し、収益還元法以外の手法によって想定建物等の価格を求めることができるときは、当該想定建物及びその敷地に基づく純収益から想定建物等に帰属する純収益を控除した残余の純収益を還元利回りで還元する手法(土地残余法という。)を適用することができる。【2226】
また、不動産が敷地と建物等との結合によって構成されている場合において、収益還元法以外の手法によって建物等の価格を求めることができるときは、土地残余法を適用することができるが、建物等が古い場合には複合不動産の生み出す純収益から土地に帰属する純収益が的確に求められないことが多いので、建物等は新築か築後間もないものでなければならない。【2227】
土地残余法は、土地と建物等から構成される複合不動産が生み出す純収益を土地及び建物等に適正に配分することができる場合に有効である。【2228】
土地残余法を適用して土地の収益価格を求める場合は、基本的に次の式により表される。【2229】
【2230】
PL:土地の収益価格【2231】
a:建物等及びその敷地の償却前の純収益【2232】
B:建物等の価格【2233】
RB:償却前の純収益に対応する建物等の還元利回り【2234】
RL:土地の還元利回り【2235】
なお、土地残余法の適用に当たっては、賃貸事業におけるライフサイクルの観点を踏まえて、複合不動産が生み出す純収益及び土地に帰属する純収益を適切に求める必要がある。【2236】
ウ 建物残余法【2237】
不動産が敷地と建物等との結合によって構成されている場合において、収益還元法以外の手法によって敷地の価格を求めることができるときは、当該不動産に基づく純収益から敷地に帰属する純収益を控除した残余の純収益を還元利回りで還元する手法(建物残余法という。)を適用することができる。【2238】
建物残余法は、土地と建物等から構成される複合不動産が生み出す純収益を土地及び建物等に適正に配分することができる場合に有効である。【2239】
建物残余法を適用して建物等の収益価格を求める場合は、基本的に次の式により表される。【2240】
【2241】
PB:建物等の収益価格【2242】
a:建物等及びその敷地の償却前の純収益【2243】
L:土地の価格【2244】
RL:土地の還元利回り【2245】
RB:償却前の純収益に対応する建物等の還元利回り【2246】
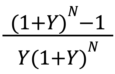
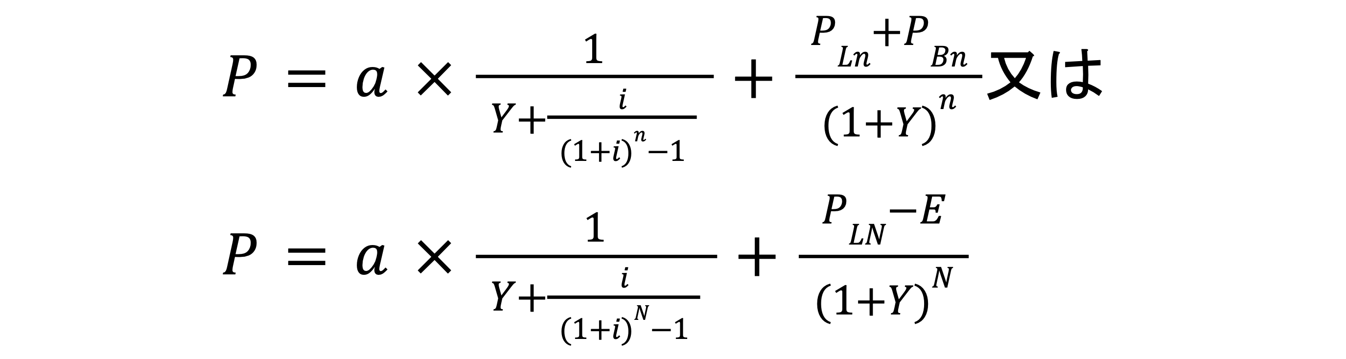
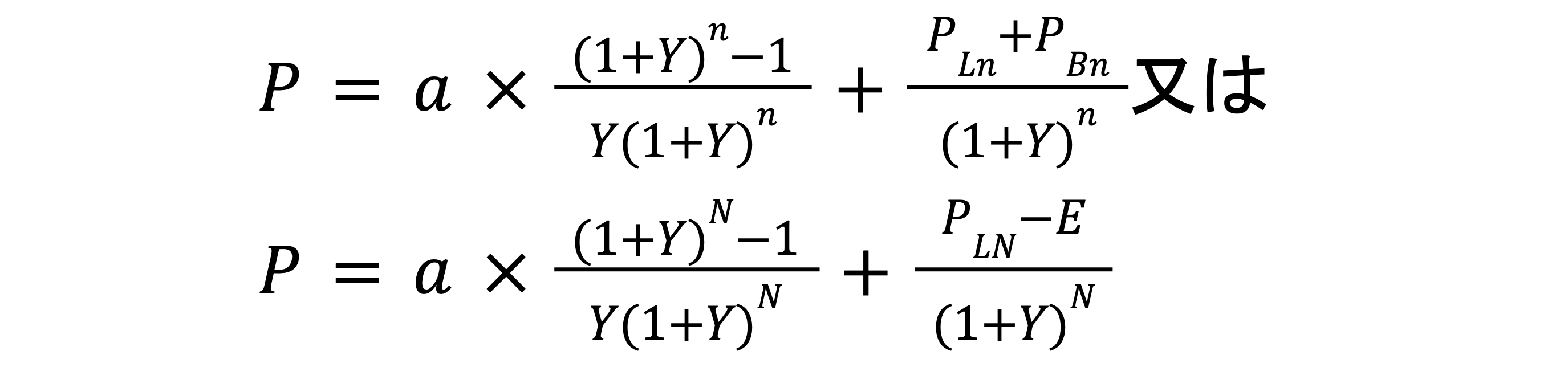
エ 有期還元法【2247】
不動産が敷地と建物等との結合により構成されている場合において、その収益価格を、不動産賃貸又は賃貸以外の事業の用に供する不動産経営に基づく償却前の純収益に割引率と有限の収益期間とを基礎とした複利年金現価率を乗じて求める方法があり、基本的に次の式により表される。【2248】
【2249】
P:建物等及びその敷地の収益価格【2250】
a:建物等及びその敷地の償却前の純収益【2251】
Y:割引率【2252】
N:収益期間(収益が得られると予測する期間であり、ここでは建物等の経済的残存耐用年数と一致する場合を指す。)【2253】
:複利年金現価率【2254】
なお、複利年金現価率を用い、収益期間満了時における土地の価格、及び建物等の残存価格又は建物等の撤去費をそれぞれ現在価値に換算した額を加減する方法(インウッド式)がある。この方法の考え方に基づき、割引率を用いた式を示すと次のようになる。【2255】
【2256】【2257】
P:建物等及びその敷地の収益価格【2258】
a:建物等及びその敷地の償却前の純収益【2259】
Y:割引率【2260】
N,n:収益期間(収益が得られると予測する期間であり、ここでは建物等の経済的残存耐用年数と一致する場合にはN、建物等の経済的残存耐用年数より短い期間である場合はnとする。)【2261】
PLn:n年後の土地価格【2262】
PBn:n年後の建物等の価格【2263】
PLN:N年後の土地価格【2264】
E:建物等の撒去費【2265】
また、上記複利年金現価率の代わりに蓄積利回り等を基礎とした償還基金率と割引率とを用いる方法(ホスコルド式)がある。【2266】
この方法の考え方に基づき、割引率を用いた式を示すと次のようになる。【2267】
【2268】【2269】
P:建物等及びその敷地の収益価格【2271】
a:建物等及びその敷地の償却前の純収益【2272】
Y:割引率【2273】
i:蓄積利回り【2274】
N,n:収益期間(収益が得られると予測する期間であり、ここでは建物等の経済的残存耐用年数と一致する場合にはN、建物等の経済的残存耐用年数より短い期間である場合はnとする。)【2275】
:償還基金率【2276】
PLn:n年後の土地価格【2277】
PBn:n年後の建物等の価格【2278】
PLN:N年後の土地価格【2279】
E:建物等の撒去費【2280】
オ 還元利回りの求め方【2281】
還元利回りは、市場の実勢を反映した利回りとして求める必要があり、還元対象となる純収益の変動予測を含むものであることから、それらの予測を的確に行い、還元利回りに反映させる必要がある。還元利回りを求める方法を例示すれば次のとおりであるが、適用に当たっては、次の方法から一つの方法を採用する場合又は複数の方法を組み合わせて採用する場合がある。また、必要に応じ、投資家等の意見や整備された不動産インデックス等を参考として活用する。【2282】
(ア)類似の不動産の取引事例との比較から求める方法【2283】
取引事例の収集及び選択については、総論第7章に定める取引事例比較法の適用方法に準ずる。【2284】
取引事例から得られる利回り(以下「取引利回り」という。)については、償却前後のいずれの純収益に対応するものであるかに留意する必要がある。あわせて純収益について特殊な要因(新築、建替え直後で稼働率が不安定である等)があり、適切に補正ができない取引事例は採用すべきでないことに留意する必要がある。【2285】
この方法は、対象不動産と類似性の高い取引事例に係る取引利回りが豊富に収集可能な場合には特に有効である。【2286】
(イ)借入金と自己資金に係る還元利回りから求める方法【2287】
この方法は、不動産の取得に際し標準的な資金調達能力を有する需要者の資金調達の要素に着目した方法であり、不動産投資に係る利回り及び資金調達に際する金融市場の動向を反映させることに優れている。【2288】
上記による求め方は基本的に次の式により表される。【2289】
【2290】
R:還元利回り【2291】
RM:借入金還元利回り【2292】
WM:借入金割合【2293】
RE:自己資金還元利回り【2294】
WE:自己資金割合【2295】
(ウ)土地と建物等に係る還元利回りから求める方法【2296】
この方法は、対象不動産が土地及び建物等により構成されている場合に、土地及び建物等に係る利回りが異なるものとして把握される市場においてそれらの動向を反映させることに優れている。【2297】
上記による求め方は基本的に次の式により表される。【2298】
【2299】
R:還元利回り【2300】
RL:土地の還元利回り【2301】
WL:土地の価格割合【2302】
RB:建物等の還元利回り【2303】
WB:建物等の価格割合【2304】
(エ)割引率との関係から求める方法【2305】
この方法は、純収益が永続的に得られる場合で、かつ純収益が一定の趨勢を有すると想定される場合に有効である。【2306】
還元利回りと割引率との関係を表す式の例は、次のように表される。【2307】
【2308】
R:還元利回り【2309】
Y:割引率【2310】
g:純収益の変動率【2311】
(オ)借入金償還余裕率の活用による方法【2312】
この方法は、借入金還元利回りと借入金割合をもとに、借入金償還余裕率(ある期間の純収益を同期間の借入金元利返済額で除した値をいう。)を用いて対象不動産に係る純収益からみた借入金償還の安全性を加味して還元利回りを求めるものである。【2313】
この場合において用いられる借入金償還余裕率は、借入期間の平均純収益をもとに算定すべきことに留意する必要がある。この方法は、不動産の購入者の資金調達に着目し、対象不動産から得られる収益のみを借入金の返済原資とする場合に有効である。【2314】
上記による求め方は基本的に次の式により表される。【2315】
【2316】
R:還元利回り【2317】
RM:借入金還元利回り【2318】
WM:借入金割合【2319】
DSCR:借入金償還余裕率(通常は1.0以上であることが必要。)【2320】
② DCF法の適用について【2321】
DCF法は、連続する複数の期間に発生する純収益及び復帰価格を予測しそれらを明示することから、収益価格を求める過程について説明性に優れたものである。【2322】
なお、対象不動産が更地である場合においても、当該土地に最有効使用の賃貸用建物等の建築を想定することによりこの方法を適用することができる。【2323】
ア 毎期の純収益の算定について【2324】
建物等の純収益の算定においては、基本的には減価償却費を控除しない償却前の純収益を用いるものとし、建物等の償却については復帰価格において考慮される。【2325】
(ア)総収益の算定【2326】
一時金のうち預り金的性格を有する保証金等については、全額を返還準備金として預託することを想定しその運用益を発生時に計上する方法と全額を受渡時の収入又は支出として計上する方法とがある。【2327】
(イ)総費用の算定【2328】
大規模修繕費等の費用については、当該費用を毎期の積み立てとして計上する方法と、実際に支出される時期に計上する方法がある。実際に支出される時期の予測は、対象不動産の実態に応じて適切に行う必要がある。【2329】
イ 割引率の求め方について【2330】
割引率は、市場の実勢を反映した利回りとして求める必要があり、一般に1年を単位として求める。また、割引率は収益見通しにおいて考慮されなかった収益予測の不確実性の程度に応じて異なることに留意する。【2331】
割引率を求める方法を例示すれば次のとおりであるが、適用に当たっては、下記の方法から一つの方法を採用する場合又は複数の方法を組み合わせて採用する場合がある。また、必要に応じ、投資家等の意見や整備された不動産インデックス等を参考として活用する。【2332】
(ア)類似の不動産の取引事例との比較から求める方法【2333】
取引事例の収集及び選択については、総論第7章に定める取引事例比較法に係る適用方法に準ずる。【2334】
取引事例に係る割引率は、基本的に取引利回りをもとに算定される内部収益率(Internal Rateof Return(IRR)。将来収益の現在価値と当初投資元本とを等しくする割引率をいう。)として求める。適用に当たっては、取引事例について毎期の純収益が予測可能であることが必要である。【2335】
この方法は、対象不動産と類似性を有する取引事例に係る利回りが豊富に収集可能な場合には特に有効である。【2336】
(イ)借入金と自己資金に係る割引率から求める方法【2337】
この方法は、不動産の取得に際し標準的な資金調達能力を有する需要者の資金調達の要素に着目した方法であり、不動産投資に係る利回り及び資金調達に際する金融市場の動向を反映させることに優れている。適用に当たっては、不動産投資において典型的な投資家が想定する借入金割合及び自己資金割合を基本とすることが必要である。【2338】
上記による求め方は基本的に次の式により表される。【2339】
【2340】
Y:割引率【2341】
YM:借入金割引率【2342】
WM:借入金割合【2343】
YE:自己資金割引率【2344】
WE:自己資金割合【2345】
(ウ)金融資産の利回りに不動産の個別性を加味して求める方法【2346】
比較の対象となる金融資産の利回りとしては、一般に10年物国債の利回りが用いられる。また、株式や社債の利回り等が比較対象として用いられることもある。【2347】
不動産の個別性として加味されるものには、投資対象としての危険性、非流動性、管理の困難性、資産としての安全性があり、それらは自然災害等の発生や土地利用に関する計画及び規制の変更によってその価値が変動する可能性が高いこと、希望する時期に必ずしも適切な買い手が見つかるとは限らないこと、賃貸経営管理について専門的な知識と経験を必要とするものであり管理の良否によっては得られる収益が異なること、特に土地については一般に滅失することがないことなどをいう。【2348】
この方法は、対象不動産から生ずる収益予測の不確実性が金融資産との比較において把握可能な場合に有効である。【2349】
ウ 保有期間(売却を想定しない場合には分析期間)について【2350】
保有期間は、毎期の純収益及び復帰価格について精度の高い予測が可能な期間として決定する必要があり、不動産投資における典型的な投資家が保有する期間を標準とし、典型的な投資家が一般に想定しないような長期にわたる期間を設定してはならない。【2351】
エ 復帰価格の求め方について【2352】
保有期間満了時点において売却を想定する場合には、売却に要する費用を控除することが必要である。【2353】
復帰価格を求める際に、n+1期の純収益を最終還元利回りで還元して求める場合においては、n+1期以降の純収益の変動予測及び予測に伴う不確実性をn+1期の純収益及び最終還元利回りに的確に反映させることが必要である。【2354】
なお、保有期間満了時点以降において、建物の取壊しや用途変更が既に計画されている場合又は建物が老朽化していること等により取壊し等が見込まれる場合においては、それらに要する費用を考慮して復帰価格を求めることが必要である。【2355】
オ 最終還元利回りの求め方について【2356】
最終還元利回りは、価格時点の還元利回りをもとに、保有期間満了時点における市場動向並びにそれ以降の収益の変動予測及び予測に伴う不確実性を反映させて求めることが必要である。【2357】
③ 事業用不動産について【2358】
ア 賃貸用不動産又は賃貸以外の事業の用に供する不動産のうち、その収益性が当該事業(賃貸用不動産にあっては賃借人による事業)の経営の動向に強く影響を受けるもの(以下「事業用不動産」という。)を例示すれば、次のとおりである。【2359】
(ア)ホテル等の宿泊施設【2360】
(イ)ゴルフ場等のレジャー施設
(ウ)病院、有料老人ホーム等の医療・福祉施設
(エ)百貨店や多数の店舗により構成されるショッピングセンター等の商業施設
イ 事業用不動産の特性【2361】
(ア)運営形態の多様性【2362】
事業用不動産に係る事業の運営形態については、その所有者の直営による場合、外部に運営が委託される場合、当該事業用不動産が賃貸される場合等多様であり、こうした運営形態の違いにより、純収益の把握の仕方や、当該純収益の実現性の程度が異なる場合があることに留意すべきである。【2363】
(イ)事業用不動産に係る収益性の分析【2364】
事業用不動産に係る収益性の分析に当たっては、事業経営に影響を及ぼす社会経済情勢、当該不動産の存する地域において代替、競争等の関係にある不動産と比べた優劣及び競争力の程度等について中長期的な観点から行うことが重要である。【2365】
また、依頼者等から提出された事業実績や事業計画等は、上記の分析における資料として有用であるが、当該資料のみに依拠するのではなく、当該事業の運営主体として通常想定される事業者(以下「運営事業者」という。)の視点から、当該実績・計画等の持続性・実現性について十分に検討しなければならない。【2366】
ウ 事業用不動産に係る総収益の把握における留意点【2367】
事業用不動産については、その利用方法において個別性が高く、賃貸借の市場が相対的に成熟していないため、賃貸借の事例をもとに適正な賃料を把握することが困難な場合が多い。したがって、当該事業による売上高をもとに支払賃料等相当額を算定する場合には、その事業採算性の観点から、適正な賃料水準を把握する必要がある。【2368】
また、事業用不動産が現に賃貸借に供されている場合においても、現行の賃貸借契約における賃料と、事業採算性の観点から把握した適正な賃料水準との関係について分析を行うことが有用である。【2369】
これらの場合においては、将来における事業経営の動向を中長期的な観点から分析し、当該賃料等が、相当の期間、安定的に収受可能な水準であるかについて検討する必要がある。【2370】
なお、運営事業者が通常よりも優れた能力を有することによって生じる超過収益は、本来、運営事業者の経営等に帰属するものであるが、賃貸借契約において当該超過収益の一部が不動産の所有者に安定的に帰属することについて合意があるときには、当該超過収益の一部が当該事業用不動産に帰属する場合があることに留意すべきである。【2371】
2.賃料を求める鑑定評価の手法について【2372】
(1)積算法について【2373】
基礎価格を求めるに当たっては、次に掲げる事項に留意する必要がある。【2374】
①宅地の賃料(いわゆる地代)を求める場合【2375】
ア 最有効使用が可能な場合は、更地の経済価値に即応した価格である。【2376】
イ 建物の所有を目的とする賃貸借等の場合で契約により敷地の最有効使用が見込めないときは、当該契約条件を前提とする建付地としての経済価値に即応した価格である。
②建物及びその敷地の賃料(いわゆる家賃)を求める場合【2377】
建物及びその敷地の現状に基づく利用を前提として成り立つ当該建物及びその敷地の経済価値に即応した価格である。【2378】
(2)賃貸事例比較法について【2379】
①事例の選択について【2380】
ア 賃貸借等の事例の選択に当たっては、新規賃料、継続賃料の別又は建物の用途の別により賃料水準が異なるのが一般的であることに留意して、できる限り対象不動産に類似した事例を選択すべきである。【2381】
イ 契約内容の類似性を判断する際の留意事項を例示すれば、次のとおりである。【2382】
(ア)賃貸形式【2383】
(イ)賃貸面積
(ウ)契約期間並びに経過期間及び残存期間
(エ)一時金の授受に基づく賃料内容
(オ)賃料の算定の期間及びその支払方法
(カ)修理及び現状変更に関する事項
(キ)賃貸借等に供される範囲及びその使用方法
② 地域要因の比較及び個別的要因の比較について【2384】
賃料を求める場合の地域要因の比較に当たっては、賃料固有の価格形成要因が存すること等により、価格を求める場合の地域と賃料を求める場合の地域とでは、それぞれの地域の範囲及び地域の格差を異にすることに留意することが必要である。【2385】
賃料を求める場合の個別的要因の比較に当たっては、契約内容、土地及び建物に関する個別的要因等に留意することが必要である。【2386】

その他

※国土交通省が公開している不動産鑑定評価基準(平成26年5月1日一部改正)をサイトに対して最適化するよう、必要に応じて一部を改変しています。正確な記載については、国土交通省が公開している不動産鑑定評価基準をご参照ください。また、誤りだと思われる部分を発見した際には、お問い合わせフォームよりご指摘いただけますと幸いでございます。

問題・解説の報告

問題や解答・解説に誤りや分かりにくい点がございましたら、以下のフォームよりご指摘いただけますと幸いでございます。
ご指摘は、該当箇所・指摘の内容が分かるようご記載ください。お手数をおかけいたしますが、より良いコンテンツの作成へご協力をお願いいたします。

戻る

メッセージが送信されました

警告
警告

警告。


※修正の反映には1〜2週間程度のお時間を頂戴する場合がございます。